Cara Tukar Tarikh Masihi Ke Hijrah
Artikel Berkaitan Agama
Cara Tukar Tarikh Masihi Ke Hijrah Islam Junablogg
Kalendar Islam 2020 Masihi 1441 1442 Hijrah Malaysia
Kalendar Islam 2019 Masihi 1440 1441 Hijrah
Kalendar Islam 2018 Masihi 1439 1440 Hijrah
Rainbow Cloudy Penukaran Tarikh Masihi Ke Hijrah
Kalendar Islam 2021 Masihi 1442 1443 Hijrah Malaysia
Tukar Tarikh Masihi Kepada Hijrah Takwim Hijrah
Ee Man Tukar Kalendar Masihi Ke Hijrah
Kelas Falak Syarie Gen1 Cara Tukar Tarikh Masihi Hijrah Dan Sebaliknya
Kalendar Islam 2017 Masihi 1438 1439 Hijrah
Tukar Tarikh Masihi Ke Hijrah
Penukar Tarikh Islam Hijriah Kepada Gregori Islamicfinder
Kalendar Hijrah Bulan Islam Malaysia 2020m 1441 1442h Tarikh Penting
Pendidikan Islam Sirah Tahun 4 Hijrah Ke Habsyah Education Hijrah Islam Islam
Hijrah
Isma Jepun Hijrah Pertama Dalam Islam Facebook
Hijrah Calandar Tarikh Islam Apl Di Google Play
Muallaf Brunei Muallaf Brunei Added A New Photo Facebook
Awal Muharram Doa Akhir Dan Awal Tahun Doa Muharram Islam
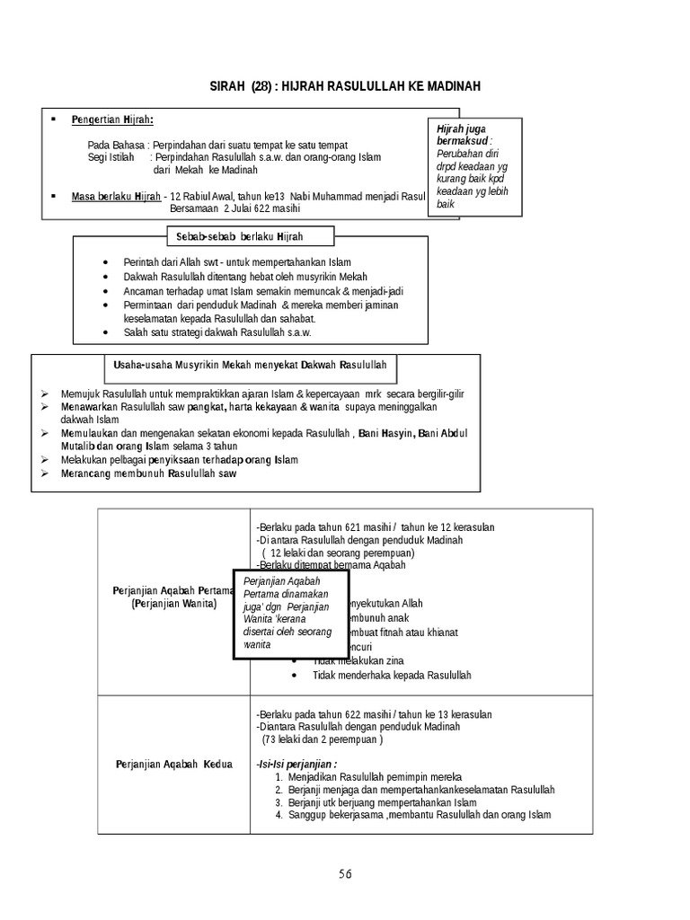
Sirah 28 Hijrah Rasulullah Ke Madinah Perubahan Diri Drpd Keadaan Yg Kurang Baik Kpd Keadaan Yg Lebih Baik
Https Encrypted Tbn0 Gstatic Com Images Q Tbn 3aand9gcqp5jypwxch9vzaszwrir12rsjho5f Tznazyopyf6w0qkzzcy5 Usqp Cau
Kajian Online Facebook
Yasin Tahlil Lengkap By Studio Raudhah Google Play United States Searchman App Data Information
Nota B1d1e2
Falak Syar I Mengenali Kalender Islam Dan Masehi Event Islamicevents Sg
Kalkulator Kalendar Kotak Maklumat